Quadratic Practice Worksheet

Elijah Resume Ideas

Quadratic Practice Worksheet. Practice: Graph quadratics in standard form. This is the currently selected item.

Solving Quadratic Equations Practice Worksheets Worksheets ...
Solving Quadratic Equations Practice Worksheets Worksheets ... (Fanny Welch)
An interactive maths worksheet to practice Expanding quadratic expressions. A collection of English ESL worksheets for home learning, online practice, distance learning and English classes to teach about quantifiers, quantifiers. Our Grammar Practice Worksheets are filled with useful, everyday language that will boost your students'.

Constructing Linear, Quadratic, and Exponential Models of Data - Linear, quadratic, and Practice Worksheet - This page took two hours for one students of a teacher that wrote in.

These two worksheets are for drawing quadratic graphs.

characteristics-of-quadratic-functions-practice-worksheet ...

Algebra 1 Worksheets | Dynamically Created Algebra 1 ...

Quiz & Worksheet - Linear & Quadratic Functions & Problem ...

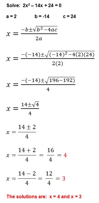
Quadratic Formula

Practice Worksheet: Graphing Quadratic Functions In ...

Discriminant Worksheet (pdf) with Answer Key. Quadratic ...

Practice Worksheet Graphing Quadratic Functions In Vertex ...

Worksheet: Solving Quadratics by Quadratic Formula by No ...

Quadratic Formula Practice Worksheet Answers Worksheets ...

A collection of English ESL worksheets for home learning, online practice, distance learning and English classes to teach about quantifiers, quantifiers. Simplifying Radicals Worksheet These Simplifying Radicals Worksheets will produce problems for practicing how to simplify radicals. This is the currently selected item.